People oriented, science and technology first, and win-win cooperation

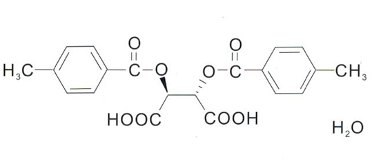
MF: C20H20O9
FW: 404.33
Properties: The appearance of this product is crystalline white powder,It is easily hygroscopic in the air and soluble in ethanol and methanol. It is hardly soluble in water.
Product specification
Purity: ≥99.0%
Specificrotation: [α]D20=-1400~-1430(c=1,MeOH)
Melting point: 168~171℃(Dry basis)
Application: It is widely used for resolution racemic amine compounds.